Vind- og bølgeklima som globalt digitalt fellesgode fra MET
MET har utviklet åpen kildekode som gjør at andre land får enkel tilgang til egenrapportering om vind og bølgeklima. Med dette utvider vi porteføljen vår med data som Globalt digitalt fellesgode.
Dette arbeidet er en del av vårt bistandsarbeid og prosjektet SAREPTA og omfatter foreløpig Vietnam, Mosambik og Tanzania. Her kan du lese hele rapporten.
Bølge- og vindklima i Tanzania
Når det skal bygges installasjoner i havet, trengs det gode data om bølge- og vindklima. Tanzania er et land som har store utfordringer med ekstremvær som tropiske sykloner og stormflo. Den rapporten vi har skrevet for Tanzania tar for seg lokale forhold.
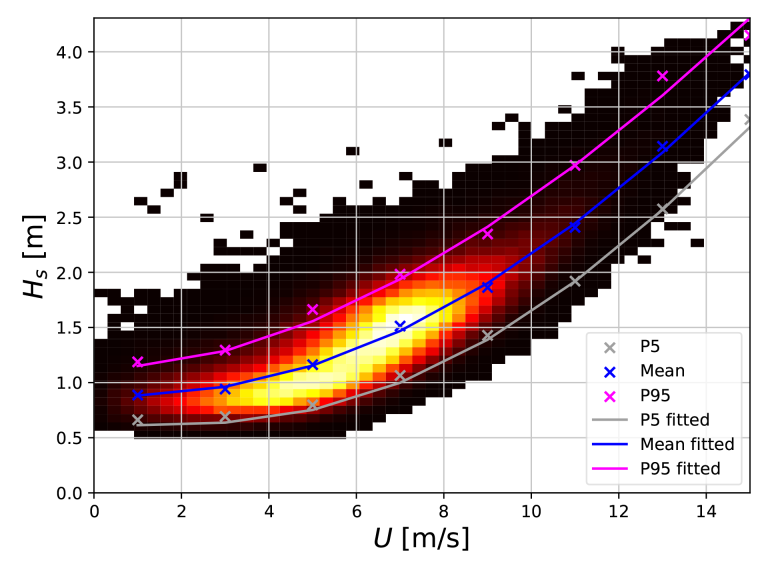
– Alle hav har forskjellig bølge- og vindklima. Å analysere dette på en god måte er komplisert, men med den nye programvaren vi har utviklet får andre land en oppskrift på hvordan de selv kan gjøre statistiske analyser av lokale vind og bølgeforhold, forklarer seniorforsker Lars R. Hole ved MET.
–I Tanzania kommer dønningene fra sør på grunn av det åpne havet helt ned til Antarktis.
Det har mye å si for hvordan bølgeforholdene er der, forklarer han videre.
Meteorologisk institutt har i en årrekke jobbet for å tilgjengeliggjøre data som digitalt fellesgode (lenke FN). Vi har nå utviklet en programvare, metocean-stats, som alle land kan bruke. Det gjør det enklere å gjøre egne statistiske analyser og lage rapporter om vind og bølgeforhold. Programvaren er utviklet hovedsakelig av Konstantinos Christakos, Clio Michel og Erik Furevik ved avdeling for Oseanografi og Marin Meteorologi i Bergen.
–Med kunnskap om vår langstrakte kyst og ekspertise på vind og bølgeklima, bidrar vi nå til at andre land får tilgang til åpen programvare som gjør det enklere for dem å gjøre statistisk analyse på vind og bølgeklima i sitt land, forteller Hole som er prosjektleder for vårt bistandsprosjekt i Vietnam.
Vi har laget lignende rapporter for Mosambik og Vietnam. En fellesnevner for disse tre landene er at de har en lang kystlinje, slik som Norge. Timesverdier av vind- og bølgedata globalt tilbake til 1940 kan hentes fra ERA5-datasettet som er tilgjengelig fra Copernicus.
Norge samarbeider med Vietnam om å forbedre deres marine varsling
Vi har samarbeidet med Vietnam siden 2013. Slik klima har endret seg er det store utfordringer knyttet til flom, stormflo, havnivåstigning og erosjon i Vietnam. Når de skal bygge infrastruktur offshore så trenger de god statistikk for å kunne bygge installasjoner som holder i et fremtidig klima.
–Ved å dele kunnskap og bruke verktøy som AI og digitale offentlige goder, tar vi sikte på å beskytte liv og støtte bærekraftig planlegging i Vietnam, sa Erlend Skutlaberg, førstesekretær ved den Norske Ambassaden i Vietnam på en felles workshop i Vietnam i fjor.
Få observasjoner gjør varsling vanskelig
–Vietnam, Tanzania og Mosambik er land som har få offshore observasjoner av vind og bølger i dag. Det gjør det utfordrende for dem å utvikle offshore-aktivitet, slik som vindkraft, forklarer seniorforsker Lars R. Hole.
De siste årene har satellittdata blitt brukt for å kvalitetssikre ERA5-dataene og de fungerer godt til å gjøre statistiske analyser frem i tid på vind og bølgeforhold. Rapportene våre inneholder også trendanalyser om hvordan vind, bølger og temperatur har endret seg over de siste tiårene.
Data som digitalt fellesgode
Kontaktperson
.png)
Lars R. Hole
T.: 91769141